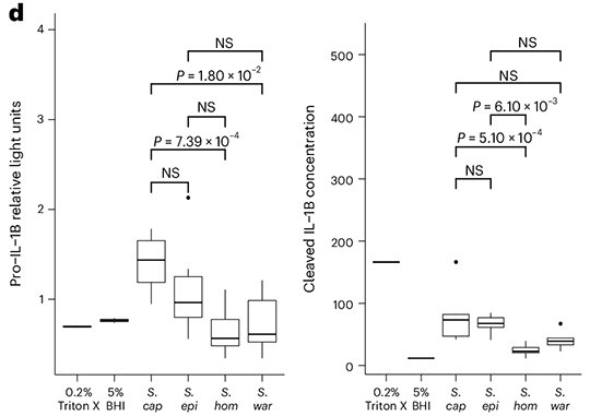
FineTest ELISA kit contributes to the research on skin microbiota. The immunoassay is designed to measure IL-1β level in human keratinocytes.
Article Title: Skin metatranscriptomics reveals a landscape of variation in microbial activity and gene expression across the human body
Journal Title: Nature Biotechnology
DOI: 10.1038/s41587-025-02797-4
IF: 41.7
PMID: 40877570
Abstract: Metatranscriptomics methods for the skin are hampered by low microbial biomass, contamination with host cells and low RNA stability. In this study, we developed a robust, clinically tractable skin metatranscriptomics workflow that provides high technical reproducibility of profiles, uniform coverage across gene bodies and strong enrichment of microbial mRNAs. Paired application of this protocol with metagenomics to five skin sites in a cohort of 27 healthy adults identifies a notable divergence between transcriptomic and genomic abundances. Specifically, Staphylococcus species and the fungi Malassezia had an outsized contribution to metatranscriptomes at most sites, despite their modest representation in metagenomes. Species-level analysis shows signatures of microbial adaptation to their niches. Gene-level analysis identifies diverse antimicrobial genes transcribed by skin commensals in situ, including several uncharacterized bacteriocins. Correlation of microbial gene expression with organismal abundances uncovers more than 20 genes that putatively mediate interactions between microbes. This work highlights how skin metatranscriptomics identifies active species and microbial functions in situ.
Keywords: Skin Microbiota, Biochemical reaction networks, Microbiome, Transcriptomics
Immunoassay
| FineTest Product | Sample | Species | Detection Target |
| Human IL-1β(Interleukin 1 Beta) ELISA Kit(EH0185) | keratinocytes | Human | IL-1β |
Validated Image

Figure Source: Nat Biotechnol. 2025 Aug 28. doi: 10.1038/s41587-025-02797-4.